12+ Islr Chapter 4 Solutions
ISLR - Chapter 4 Solutions. Richmond Auto Upholstery was founded in 1974 By Michael Lemire and is based in the green.
Classification Islr Series Chapter 4 Part I By Taraqur Rahman The Biased Outliers Medium
4 - Exercise Solutions Liam Morgan February 2020 1.

. Carrie Buck The Lynchburg State Colony for Epileptics. Ad With Over 35 Million Expert Qas And Textbooks Solutions We Teach Pretty Much Anything. 7700 Irvine Center Dr Irvine CA.
Or copy paste this link into an email or IM. Statistical Learning ExercisesRmd 3. Overall prediction rate is 561 the majority of the errors are in the false positive space.
A The first component explaining 10 of the variation means that this variable that is a linear. Hence LHS and RHS are equal. Commercial electrical permit.
8130 Maple Lawn Blvd Fulton MD 20759. Marketing and Advertising Doing business as. ISLR Chapter 4 Applied Exercises - R.
Chegg Studythe Tool Made For Every Kind Of Learner Designed To Help You Study Smarter. B On the basis of this identity argue that the K. Unsupervised Learning ExercisesRmd 2.
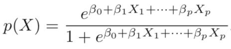
See past project info for Vermont Floor Solutions including photos cost and more. ISLR - Classification Ch. Using a little bit of algebra prove that the logistic function.
Known Addresses for Imarket Solutions Inc. Last updated almost 3 years. Cpa Site Solutions Inc Site.
ISLR Exercise Solutions By Wenbo Zhang.
Is Learnbay A Better Institute For Learning Data Science And Getting Placed In Good Companies Quora
Islr Classification Ch 4 Solutions Kaggle
R Tutorial For Spatial Statistics
Classification Islr Series Chapter 4 Part I By Taraqur Rahman The Biased Outliers Medium
What Are The Best Certification Courses For Data Science In 2020 Quora
Logistic Introduction To Statistical Learning Exercise 4 12 C And E Cross Validated
Pdf Clvrnrrdge University Press Ahi Story Of Archaeological Burcin Sahutoglu Academia Edu
Can Anyone From Any Stream Do Data Science Course Quora
Pdf Introductory Statistics With R Erick Gomez Academia Edu
R Tutorial For Spatial Statistics
Classification Islr Series Chapter 4 Part I By Taraqur Rahman The Biased Outliers Medium
R Tutorial For Spatial Statistics
Is Learnbay A Better Institute For Learning Data Science And Getting Placed In Good Companies Quora
Radar Technology Kouemou Pdf Radar Ultra Wideband
Islr Chapter 4 Applied Exercises R Kaggle
Classification Islr Series Chapter 4 Part I By Taraqur Rahman The Biased Outliers Medium
Classification Islr Series Chapter 4 Part I By Taraqur Rahman The Biased Outliers Medium